[ начало ] [ В ]

Виртуальные перемещения

Виртуальные перемещения, виртуальные скорости (vitesses virtuelles) — величины, имеющие весьма важное значение в теоретической механике, как в статике, так и в динамике: со времени введения понятия о В. перемещениях в науку началась история развития динамики и установилась тесная связь между динамикою и статикою. Самые существенные вопросы динамики заключаются в определении движения системы материальных точек, подверженных данным силам и ограниченных в своих движениях данными механическими связями. В статике рассматриваются вопросы об определении положений равновесия таких систем и об определении условий, которым должны удовлетворять силы, приложенные к материальным точкам, находящимся в положении равновесия. Для решения подобных вопросов статики и динамики надо, во-первых, составить: в статике — так называемые уравнения равновесия сил, в динамике — так называемые дифференциальные уравнения движения системы материальных точек; во-вторых, надо решить составленные уравнения. Процесс составления вышесказанных уравнений состоит в том, чтобы выразить аналитически, что рассматриваемая система материальных точек и приложенные к ней силы подчиняются тому или другому из основных начал, или принципов, механики. В настоящее время эти основные начала механики выяснены вполне, а потому составление уравнений равновесия или дифференциальных уравнений движения может быть выполнено во всяком частном случае по определенным общим правилам; но 350 лет тому назад, до Галилея, когда основные начала механики еще не были известны, определение условий равновесия даже простых машин представляло большие затруднения, так как тогда не умели составлять уравнения равновесия и в каждом частном случае приходилось придумывать новый прием для решения вопроса. Открытие основных начал механики принадлежит Галилею (1564-1642), которого называют основателем динамики; но ясное и точное формулирование этих начал было дано уже впоследствии Гюйгенсом (1629-95) и Ньютоном (1642-1726), а составление дифференциальных уравнений динамики на основании этих начал или же исходя из так называемого начала д'Аламбера и из начал виртуальных перемещений было вполне разработано только во второй половине прошедшего столетия Лагранжем.

Начало виртуальных перемещений, собственно говоря, не принадлежит к числу основных начал механики, но на основании его, помимо основных начал, могут быть составлены уравнения статики и дифференциальные уравнения динамики. Впервые оно применялось для вывода условий равновесия простых машин, где оно получает смысл начала возможных перемещений. Открытие его принадлежит Гвидо Убальди (1545-1607), который применял его к рычагу, блокам и вороту, а Галилей обобщил его на все простые машины. Иван Бернулли показал, что оно распространяется на все вопросы статики. Для того, чтобы объяснить, что подразумевается под именем виртуальных перемещений и что такое суть возможные перемещения, надо сказать следующее. Если вопрос о движении какой-либо системы материальных точек будет решен, то координаты точек выразятся некоторыми функциями времени, которые, кроме того, будут заключать еще постоянные произвольные, число которых вдвое более числа степеней свободы системы (число степеней свободы равно разности между числом координат всех точек и числом всех связей).

Для пояснения возьмем такой пример. Вместо системы движется одна материальная точка массы m, к ней приложена сила mg, параллельная положительной оси У, и она ограничена в своем движении связью, выражаемою уравнением:

y — xtgJ — kt2/2 = 0.... (1)

Точка не должна покидать плоскости, выражаемой этим уравнением; плоскость эта, сохраняя постоянный угол наклонения J к плоскости XZ, движется поступательно и равноускоренно с ускорением k параллельно положительной оси У.

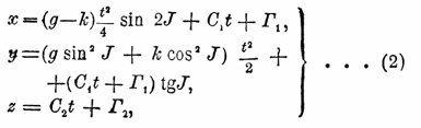
Если решить вопрос о движении этой точки, то решение будет заключаться в уравнениях:

,

во вторые части которых входят четыре произвольные постоянные С 1, С 2, Г 1, Г 2, соответственно удвоенному числу степеней свободы, которое здесь равно двум.

Присутствие произвольных постоянных в решении указывает, что движений, удовлетворяющих одной и той же задаче, бесконечное множество. Придав постоянным какие-либо определенные величины С 11, C21, Г 11, Г 21, мы этим, так сказать, избираем одно из бесчисленного множества движений. Дадим в уравнениях (2) постоянным C1, С 2, Г 1, Г 2 выбранные величины С 11, С 21, Г 11, Г 21, и выберем какой-либо момент времени t 1; уравнения (2) определят координаты x 1, y1, z1 положения M1 движущейся точки в этот момент на избранном движении.

Изменим теперь постоянные С 11, С 21, Г 11, Г 21, придав им ничтожно малые положительные или отрицательные приращения δС 1, δС 2, δГ 1, δГ 2 (вариации этих постоянных — см. Вариационное исчисление); тогда при новых величинах С 11 + δС 1, С 21 + δС 2, Г 11 + δГ 1, Г 21 + δГ 2 уравнения (2) выразят другое движение, ничтожно мало разнящееся от избранного, на котором движущаяся точка в тот же момент времени t1 придет в положение M΄ 1, координаты которого будут разниться от координат x1, y1, z1 на ничтожно малые вариации последних:

δ x = t1 δ C1 + δГ 1

δ y = (t1 δ C1 + δГ 1)tgJ

δ z = t1 δ C2 + δГ 2.

Ничтожно малая длина M1M ΄ 1 называется виртуальным перемещением движущейся точки из положения М 1; вариации координат δ x, δ y, δz суть проекции В. перемещений на оси координат. Эти проекции В. перемещений должны удовлетворять равенству:

δ y — tgJ δ x = 0.... (3)

выражающему, что вариация первой части уравнения (1) связи равна нулю.

Вообще, какова бы ни была система материальных точек и каковы бы ни были связи, виртуальные перемещения точек из занимаемых ими в какой-либо момент времени на одном из возможных движений положений, суть ничтожно малые длины, соединяющие эти положения в тот же момент времени на соседних движениях. Проекции В. перемещения на оси координат суть вариации координат и должны удовлетворять уравнениям, выражающим, что вариации первых частей уравнений связей равны нулю (эти условные уравнения будут линейны относительно вариаций координат).

Если рассматривать действительные перемещения движущихся точек на избранном пути, то может оказаться, что они не принадлежат к числу виртуальных. Так, в вышеприведенном примере виртуальные перемещения должны удовлетворять равенству (3), действительные же перемещения в течение ничтожно малого промежутка времени Δt должны удовлетворять другому равенству:

Δ y — tgJ Δ x — kt1 Δ t = 0.

Когда система материальных точек подчинена связям, уравнения которых не заключают времени явным образом, то такая система может быть в положении равновесия, в покое. В такой системе виртуальные перемещения из положений равновесия точек совпадают с теми действительными перемещениями, которые точки могут совершить, выходя из положений равновесия; эти перемещения называются возможными перемещениями.

Начало виртуальных перемещений в применении к положениям равновесия какой бы то ни было системы состоит в следующем: система материальных точек, связанных данными удерживающими связями, находится в положении равновесия при условии, чтобы сумма виртуальных моментов всех приложенных к системе сил была равна нулю для всяких виртуальных перемещений из положения равновесия.

Виртуальный момент силы Fi, приложенной к материальной точке mi, есть произведение из величины силы на проекцию виртуального перемещения δ si точки на направление силы.

Начало виртуальных перемещений выразится, следовательно, уравнением:

Σ Ficos(Fi δ si) δ si = 0... (4)

в котором сумма распространена на все точки системы.

Когда это начало применяется к системе, подчиненной связям, уравнения которых не заключают времени явным образом, то слово "виртуальный" может быть заменено словом "возможный", как уже давно делается на русском языке. Тогда являются термины: возможные перемещения, возможный момент силы; начало возможных перемещений.

Уравнение (4) виртуальных моментов получается из уравнений равновесия, и, обратно, из него могут быть выведены уравнения равновесия или прямо условия равновесия. В последнем смысле это уравнение (4) или выражаемый им принцип и носит название механического начала. Однако принцип виртуальных перемещений не настолько очевиден, чтобы было возможно принять его без доказательства за основное начало механики; поэтому многие ученые предложили разные доказательства его. Все эти доказательства явно или неявно основываются, в свою очередь, на различных предположениях, которые не проще начала инерции материи, начала пропорциональности величины силы величине сообщаемого ею ускорения и начала параллелограмма сил, полагаемых в основание обычного изложения теоретической механики.

Значение и польза начала В. перемещения для решения вопросов статики были указаны Иваном Бернулли на весьма многих примерах. Им же введено слово virtuel, произведенное от латинского virtus (способность, мощь). Слово момент (силы) введено Галилеем, который под movimentum, или, сокращенно, momentum, подразумевал произведение из силы на перемещение точки приложения в направлении силы. Отсюда — virtus movens какой-либо силы (буквально: способность производить перемещение), то есть именно та величина, которую мы называем виртуальным моментом силы.

Так как и уравнение (4) и условные уравнения для вариаций координат линейны относительно виртуальных перемещений или их проекций, то ничтожно малые величины δ s, δ x, δ y, δz могут быть во всех этих уравнениях заменены пропорциональными им величинами, имеющими измерения скоростей; тогда В. перемещения заменятся пропорциональными им виртуальными скоростями. Так, собственно, и выражаются на иностранных языках; начало виртуальных перемещений называется по-французски le principe des vitesses virtuelles; принцип виртуальных скоростей.

Д. Бобылев.


Page was updated:Monday, 16-Apr-2012 04:08:18