| [ начало ] | [ И ] |
Импульс механический
— импульсом какой-либо постоянной силы (т. е. силы, имеющей постоянную величину и неизменное направление) за какой-либо промежуток времени называется в механике произведение из величины ее на величину промежутка времени. Если сила имеет неизменное направление, но величина ее P изменяется с течением времени, то И. ее за промежуток времени от момента t1 до момента t2 есть интеграл:
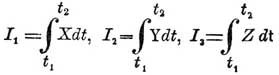
В тех случаях, когда сила изменяет с течением времени и величину, и направление, составляют И. проекций ее X, Y, Z на оси прямоугольных прямолинейных координат, то есть интегралы:
которые рассматриваются как проекции И. на оси координат; величина И. будет равна: I = √[(I1)²+(I2)²+(I3)²] и направление его составляет с осями координат углы, косинусы которых равны соответственно: I1/I, I2/I, I3/I.
Д. Б.