[ начало ] [ К ]

Клапан, в технике

— прибор для временного преграждения протока жидкости или газа. К. бывают шарнирные (также вращающиеся или поворотные), в которых отверстие cd (фиг. 1) закрывается крышкой ca, вращающейся на неподвижной оси c, и подъемные, в которых крышка ca, закрепленная на стержне bb, закрывает отверстие dd, перемещаясь параллельно (фиг. 2). В К. первого типа струя вытекающей жидкости должна направиться в сторону открывающегося отверстия и, следовательно, отклоняется от прямолинейного направления; отверстие же подъемного К. открывается равномерно, а потому К. последнего рода более совершенны.

Фиг. 1. Шарнирный клапан.

Фиг. 2. Подъемный клапан.

Часть, с которой соприкасается К. при закрытом отверстии, называется седалищем К., а тело, в котором помещен К., гнездом или коробкой. Смотря по цели, для которой он служит, К. устраивается таким образом, чтобы им можно было управлять рукой, посредством рукоятки, рычага, колеса или винта (запорные К.), или же клапан открывается напором жидкости (самодействующие или автоматические К.), причем в последнем случае действие его может быть периодическим, и тогда он составляет часть механизма (как, например, в насосах), или же он действует лишь при особых условиях (например, вантузы [см.], предохранительные К., см. ниже). К. делаются из чугуна, желтой меди, бронзы, свинца, резины, кожи, стекла и дерева. Наиболее простые, вместе с тем и самые употребительные К. состоят из кожаных кружков, для которых шарниром служит кожаный же лоскут, прибиваемый к краю седалища. Чтобы кожа не прогнулась от давления жидкости и вместе с тем для увеличения веса К., ее обивают с обеих сторон металлом (железом, свинцом или бронзой). При больших отверстиях вместо одной круглой створки К. делают две полукруглые (фиг. 3), вращающиеся на общей кожаной прокладке a, прикрепленной к подставке в середине коробки. Выступы b ограничивают подъем створок; седалищем служит кольцевая закраина c гнезда D. К. подобного устройства употребляются в насосах, причем коробка делается деревянной или металлической и часто прямо вставляется в трубу или стакан насоса, удерживаясь в нем трением. В этом случае К. укрепляется на стержне s, с помощью которого его можно вытащить для осмотра и починки. На этом же стержне, посредством чеки d, может быть закреплена шарнирная подставка a.

Фиг. 3. Створчатый клапан.

Сходную с этим конструкцию имеют и металлические шарнирные К. Переходную форму к кранам (см.) представляет относящейся к этому же разряду горловой К., состоящий из металлического кружка, вставляемого в трубу таким образом, что он может вращаться около одного из своих диаметров, совпадающего также с диаметром трубы. Когда кружок направлен по оси трубы, жидкость протекает по ней почти полным сечением; при повороте же на некоторый угол К. более или менее суживает отверстие.

Подъемные К. могут быть плоские (тарелочные), конические и шаровые. Самодействующие К. насосов, воздуходувок и т. д. должны иметь направляющие, для предотвращения боковых отклонений К. Шаровые К., вследствие недостаточного их направления, применимы только для второстепенных целей. Хорошее направление движения достигается при возможно низком положении центра тяжести К. Как К., так и седалище делаются металлическими, иногда же К. снабжается упругой прокладкой (кожа, твердая резина, вулканизированный каучук и т. д.). При этом допускается давление: для бронзы до 150 кг на кв. см, для фосфористой бронзы 200, для чугуна 80 и для твердой резины и кожи 50. Ход (высота подъема) К. определяется тем условием, чтобы препятствие движению жидкости через К. было не больше сопротивления движению ее по трубе диаметром D (фиг. 4).

Фиг. 4.

Поэтому высота подъема h определяется формулой: hD π =D2 π/4, и следовательно: h=D /4. На основании подобного же простого соотношения определяется ширина клапанной коробки. Из формулы h=D /4 следует, что при значительном расходе воды и, следовательно, большом размере отверстия К. необходимо соответственно увеличить высоту подъема, если желаем, чтобы скорость течения при проходе жидкости через К. не изменялась. Но с увеличением подъема необходимо более значительное время для передвижения К. из одного крайнего положения в другое, а потому при быстрых перемещениях К. высота подъема должна быть малой. Для сохранения малых подъемов К. при больших площадях отверстия, соединяют вместе несколько К. или употребляют концентрические, кольцевые или ступенчатые К. В первом случае располагают рядом в одном гнезде столько К. малого диаметра, чтобы отверстие их дали в сумме потребную площадь. Малому диаметру соответствует и небольшой подъем каждого К. Обыкновенно при этой конструкции седалища всех отдельных К. (конических или шаровых) располагаются в несколько рядов в одной плоскости, симметрически относительно общего центра. Придавая отдельным К., а также седалищам их форму концентрических колец, получаем кольцевой К., который также может быть рассматриваем как соединение нескольких отдельных клапанов в одной плоскости, и таким образом при малом подъеме также дает большое отверстие для протока жидкости. Кольца эти можно располагать в разных плоскостях, и тогда получается ступенчатый, многоэтажный или, при соответствующей форме, пирамидальный К. Так как ступенчатые К. дают возможность простым способом значительно увеличить проточное отверстие при малом подъеме, то они чаще всего употребляются в виде так называемых многоседалищных К. На (фиг. 5) представлен весьма употребительный двуседалищный К. Он состоит из вырезной металлической тарелки A, прилегающей краями к двум кольцевым седалищам c и d. С помощью лопастей b тарелка соединена с трубкой n, движение которой направляется стержнем s. Подъем К. ограничивается кольцевым утолщением m. К. может быть вынут из гнезда с помощью ушка o.

Фиг. 5. Двуседалищный клапан.

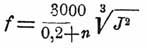
Самодействующие К. открываются напором протекающей жидкости на нижнюю плоскость К. в тот момент, когда напор этот преодолевает давление расположенного над К., столба жидкости вместе с его собственным весом. К. закрывается действием собственного веса. Иногда тяжесть К. увеличивается дополнительной нагрузкой или давлением пружины, между тем как в иных случаях приходится разгружать К. давлением пружины в обратную сторону. Дополнительная нагрузка и пружины употребляются также в тех случаях, когда К. при обыкновенных условиях должен преграждать выход жидкости или газа и уступать их напору, лишь когда давление превзойдет определенный предел, зависящий от силы пружины и величины нагрузки. К этой категории относятся предохранительные клапаны паровых котлов, резервуаров с угольной кислотой и проч. В предохранительных К. должны быть устранены все условия, могущие повлиять на их чувствительность. Поэтому К. эти должны быть плоские, а не конические; площадь соприкосновения К. с седалищем должна быть не шире 2 мм; для уменьшения сцепления и накопления грязи, нагрузка располагается не над самым К., а должна давить на него с помощью рычага или пружины; и, наконец, К. должен быть легко доступен для осмотра и пробы. Площадь отверстия предохранительного К. для парового котла можно достаточно точно определить с помощью формулы: f=650H/(0,2+n), где H — поверхность нагрева котла в кв. м, n — абсолютное давление пара в атм. Для цилиндрического сосуда, содержащего газ с давлением в n атм., можно пользоваться формулой: , где J — вместимость резервуара в куб. м, причем длина его принята в 10 диаметров. Предохранительный К. самой употребительной конструкции для постоянных паровых котлов представлен на фиг. 6.

Фиг. 6. Предохранительный клапан.

Клапан e прижимается к седалищу грузом P, с помощью двухплечевого рычага abc и стержня d. Вытекающий пар уходит через отросток R. В локомобилях и в других подвижных паровых котлах нагрузка предохранительного К. заменяется пружиной.

А. Таненбаум.

К. воздушных нагнетательных и разрежающих насосов см. в ст. Насосы. Усовершенствованный лейтенантом А. Кононовым К. нагнетательного воздушного насоса для водолазных целей см. там же. Особого вида К. в водяно-воздушном насосе Ягна — см. Водяно-воздушные насосы.


Page was updated:Monday, 16-Apr-2012 15:11:44