[ начало ] [ М ]

Мнимые величины

— результаты, происходящие от извлечения из отрицательных количеств такого корня, показатель которого есть четное число. Мнимые величины встречаются в математике при решении многих вопросов. Корнем, как известно, называется величина, которая при возвышении в степень, равную показателю корня, дает количество, из которого извлекается корень. Между тем, и всякое положительное, и всякое отрицательное количество при возведении его в четную степень дает количество положительное. Следовательно, не существует такого положительного или отрицательного количества, которое при возвышении в четную степень дало бы количество отрицательное; другими словами: нет такого положительного или отрицательного количества, которое равнялось бы мнимому. Поэтому старинные математики думали, что мнимое количество не имеет никакого смысла; сначала совершенно не пользовались им, потом стали смотреть на мнимый результат как на указание неправильной постановки вопроса или на ответ, равносильный отрицанию; однако пользовались им для общности выражения теорем, например для того, чтобы иметь возможность утверждать, что уравнение m -й степени имеет т корней (решений). Между тем, указанная выше причина еще недостаточна для признания М. величины за не имеющую смысла. Было время, когда признавались бессмысленными дробные величины, как результат деления меньшего числа на большее, отрицательные — как происходящие от вычитания большего числа из меньшего, каковое вычитание и доныне провозглашается невозможным на страницах некоторых арифметик. Между тем, отрицательные и дробные величины в настоящее время нашли широкое применение не только среди ученых, но и в обыденной жизни. Хотя при делении меньшего числа на большее получается число, не находящееся в ряду целых чисел, однако это не мешает признать его за число особого рода, придать ему значение совокупности частей единицы и принимать его за лишенное смысла только в задачах, не допускающих других решений, кроме целых. Точно так же отрицательные величины являются величинами особого рода, не встречающимися в ряду целых и дробных положительных величин и, между тем, получающими вполне реальное значение в смысле долга, направления в противоположную сторону и проч. К особому же роду относятся несоизмеримые величины, хотя и не встречающиеся в ряду величин первых трех родов, но настолько же реальные, насколько реально отношение диагонали квадрата к его стороне. Совершенно то же можно сказать и о мнимых величинах: если они и не встречаются в ряду положительных и отрицательных величин, то этим обстоятельством мы оказываемся вынужденными только признать их величинами особого (пятого) рода и затем найти не противоречащий логике способ их реального представления.

Такой взгляд на мнимые величины, как на способные иметь вполне реальный смысл, установился только благодаря трудам Коши и Гаусса в первой половине ХIХ столетия. Привлечением же мнимых величин на арену математического анализа последний обогатился в высшей степени, потому что количество мнимых величин в столько же раз более количества действительных (не мнимых), во сколько число точек плоскости более числа точек прямой. Как за отрицательными величинами можно признать разные реальные значения, каковы долг, противоположное положительному направление, замедление (отрицательное ускорение), точно так же и мнимые величины поддаются разнообразным реальным представлениям. Прежде чем ознакомиться хотя бы с одним из них, необходимо иметь в виду, что всякая мнимая величина может быть приведена к виду:

x + y√(—1)

где x и у величины действительные. Поэтому все сводится к уяснению значения величины √(—1). Припомним сперва, какое реальное значение имеет величина (—1) в том случае, когда противоположные направления принимаются одно за положительное, а другое за отрицательное. В этом случае величина (—1) имеет значение поворачивающего множителя, потому что умножение на (—1) равносильно повороту на 180°. Действительно, если А и В суть точки, находящиеся на прямой BOA по обе стороны точки О в равных от нее расстояниях, то по условию ОВ = — ОА = (—1) ОА.

Итак, ОА переходит в ОВ от умножения на (—1), но ОА можно перевести в ОВ, повернув около О на 180°. Величине √(—1) можно приписать тоже значение поворачивающего множителя, только с тою разницею, что умножение на √(—1) равносильно повороту не на 180°, а на 90°. Действительно, с одной стороны, благодаря существованию тождества:

[√(—1)]∙[√(—1)] = —1

двукратное умножение отрезка ОА на √(—1) равносильно умножению его на (—1). С другой стороны, двукратный поворот отрезка ОА около точки О на 90° поворачивает ОА на 180° и, следовательно, тоже равносилен умножению ОА на (—1). Следовательно, признание величины √(—1) за множитель, поворачивающий на 90°, не противоречит признанию одного направления за положительное, а противоположного ему за отрицательное. Величина x + y √(—1) называется комплексною. Геометрическое представление такой величины получается следующим образом. Принимают x и у за прямоугольные координаты некоторой точки. Тогда каждой комплексной величине будет соответствовать на плоскости (x, у) мнимого переменного точка. Расстояние каждой такой точки от начала координат будет равно √(х 2 + у 2) и называется модулем комплексной величины. Когда у = О, то имеем дело с точками, расположенными по оси абсцисс; комплексная же величина, утратив при у = О свою мнимую часть, обращается в х, то есть в действительную величину, так что действительная величина может быть рассматриваема как частный случай комплексной и весь ряд действительных величин изображается на плоскости мнимого переменного точками, лежащими на оси х. При х = О комплексная величина x + y √(—1) обращается в у√(—1). Такую величину называют чистою мнимою. Особенно сподручным геометрическое представление мнимых величин оказывается, если перейти по известным формулам:

х = r∙cos φ

у = r∙sin φ

от прямоугольных координат к полярным (см. Координаты), тогда

x + y√(—1) = r[cos φ + sin φ √(—1)]

Здесь r = √( х 2 + у 2) есть модуль, а угол φ называется аргументом.

Функции мнимого переменного. В настоящее время благодаря работам Коши, Гаусса, Пюизё, Римана и многих других выдающихся математиков самое основное математическое понятие о функции получило особое освещение вследствие распространения этого понятия на мнимые переменные. Если независимое переменное z представляет собою комплексную величину, так что:

z = x + y√(—1),

то функциею мнимого переменного z называется всякое выражение, содержащее x и у только в комбинации [х + у√(—1)]. Так, например, величины

[ х + у √(—1)]3;

[ х + у √(—1)]/[A + (x + y√(—1)]4

суть функции мнимого переменного z; величины же [ xу √(—1)]; (x2 + у 2) хотя и изменяются с изменением х и у, но не представляют собою функций от z. Всякая функция от z может быть приведена к виду и + v √(—1), где и и v суть действительные функции от х и у:

и = F(x, у)

v = φ (x, у).

Например, z2 = [ х + у √(—1)]2 = x3y2 + 2 ху √(—1) = и + у √(—1),

где и = Е (х, у) = х 2 — у 2

v = φ (x, у) = 2 ху.

Необходимое и достаточное условие, при котором функция W = и + v √(—1) содержит х и у только в комбинации х + у √(—1), заключается, как это можно доказать, в том чтобы:

du/dx = dv/dy

du/dy = dv/dx

Эти равенства, в свою очередь, показывают, что для всякой функции W = u + v √(—1) мнимого переменного х + у√(—1) величины u и v должны удовлетворять уравнению d2 λ /dx2 + d2 λ /dy2 = 0,

которое представляет собою частный случай уравнения Лапласа:

d2 λ /dx2 + d2 λ /dy2 + d2 λ /dz2 = 0,

благодаря этому свойству теория функций мнимого переменного легла в основу решения многих вопросов гидродинамики (учения о движении жидкости), потому что движение жидкости подчинено уравнению Лапласа. На этом основан способ исследования плоских течений Кирхгофа, получивший мастерскую обработку и развитие в сочинении Н. Е. Жуковского ("Математ. сборник", т. XV, вып. 1, 1890). Изменения, претерпеваемые функциею V = и + v √(—1) при изменении М. переменного z = x + у√(—1) изображаются следующим образом. Переменное z изображается на плоскости (x, у) так, как это было указано выше, функция же W изображается на другой плоскости (и, v) в прямоугольных координатах и и v. Если W связано с z уравнением 1 степени, напр., то каждому значению z соответствует одно значение W — каждой точке Z на плоскости (x, у) соответствует одна точка W на плоскости (u, v), и каждой кривой, описанной точкою z в плоскости (x, у), соответствует кривая, описанная точкою W на плоскости (u, v). Последняя кривая называется конформным изображением первой. Если же W связано с z квадратным уравнением W = ±√z, то каждому значению z соответствует два значения W

W1 = +√z и W2 = —√z.

Функция W может быть связана с z таким уравнением, что данному значению z соответствует насколько значений W. Такая функция называется многозначною. Именно в теорию многозначных функций рассмотрение свойств М. переменного вносит яркий свет для объяснения, напр., того, каким образом одно значение переходит в другое, как это случается с ± √z при z = 0, когда оба значения, обращаясь в нуль, становятся равными одно другому. Мало того, как увидим ниже, гению Римана при глубоком изучении М. переменного удалось до некоторой степени освободить геометрическое представление многозначных функций от их неудобной многозначности. Те точки плоскости (x, у), в которых z принимает такое значение, при котором два какие-либо значения функций W сливаются, называются точками разветвления. Так, напр., для W = + √z точка x = 0; у = 0, т. е. начало координат есть точка разветвления функции + √z. Сравнивая пути, проходимые переменным z и его функциею W, приходят к следующим выводам: 1) если вести переменное z из точки А в точку В последовательно по двум путям, между которыми не имеется точки разветвления, исходя оба раза от одного и того же значения функции W, то в обоих случаях W получит одно и то же значение, когда z придет в В. 2) Если же между двумя путями из А в В находится точка разветвления, то значения, принимаемые функциею W с прибытием z в В, будут различны, смотря по тому, каким путем двигалось z из А в В. 3) Если z ведется по замкнутому контуру из точки А и после однократного обхода возвращается в А, то W принимает новое значение, если внутри контура находится одна точка разветвления, и возвращается к прежнему значению, если внутри контура, обходимого переменным z, не находится точек разветвления. Введением элементарных контуров Пюизё привел рассмотрение контуров, вмещающих в себе несколько точек разветвления к контурам, огибающим одну такую точку. Элементарным контуром называется контур, состоящий из прямолинейного пути, идущего от данной точки к точке разветвления, из весьма малой окружности, обходящей эту точку, и из того же прямолинейного пути, проходимого назад, возвращаясь к исходной точке. Путь, проходимый по контуру, вмещающему несколько точек разветвления, начиная от точки А контура, может быть заменен без оказания влияния на значения W, принимаемые ею с возвращением z в A, путем, состоящим из последовательного ряда обходов элементарных контуров, идущих из точки А и в нее возвращающихся, так как между первым путем и вторым уже не имеется никаких точек разветвления. На почве такого рода исследований зиждется и знаменитая теорема Коши о числе корней уравнения в данных пределах. Эта теорема состоит в следующем: если дано уравнение f(z) = 0, где z = х + y √(—1) и пределом, которым мы ограничиваем изменение переменного z, служит замкнутый контур; если при однократном обходе переменным z этого контура отношение величин u и v, связанных с f(z) равенством и + v√(—1) = f(z), переходит k раз от положительного значения к отрицательному и l раз от отрицательного значения к положительному, то число корней уравнения f(z) = 0, лежащих внутри рассматриваемого контура, равно (1/2)(k l).

Римановы листы. — Риману удалось установить такое геометрическое представление мнимого переменного, при котором даже и для всякой многозначной функции W всякой точке, изображающей z, соответствует только одна вполне определенная точка, изображающая W, и, несмотря на это, изображается переход функции W от одного ее значения к другому и сохраняется след ее многозначности в каждой данной точке. Положим, например, что мы имеем дело с такою функциею W, которая имеет три значения: W1, W2 и W3, и что z имеет такую точку разветвления а, при обходе которой в направлении, противоположном движению стрелки часов, значение W1 переходит в W2; W2 в W3 и W3 в W1. Переменное z такой функции Риман изображает не в одной плоскости, а в трех плоскостях, положенных одна на другую и называемых листами; в 1-й плоскости лежат точки, обозначающие z и соответствующие значениям W1 функции; во второй плоскости — точки, соответствующие W2; в третьей точки соответствующие W3. Право пользоваться таким представлением основывается на том, что оси координат каждой плоскости лежат строго одна над другой; поэтому если имеем в 1-й плоскости точку k, во второй точку l и в третьей точку m, лежащие одна над другой, то для каждой из них координаты х и у будут одинаковы, вследствие чего всеми этими тремя точками будет изображаться одно и то же значение переменного z и аналитически по-прежнему три значения W1, W2 и W3 будут соответствовать одной и той же величине z, так что аналитическая многозначность функции W не нарушается; между тем, геометрически каждой точке, изображающей z, соответствует только одно значение функции W. Для изображения перехода W от одного значения к другому Риман соединяет все листы в точке разветвления а и прорезывает все три листа по некоторой прямой, идущей из а в одну сторону до бесконечности. Если стать на этом прорезе и смотреть в а, то можно отличить правую сторону прореза от левой. При указанной в нашем примере возможности перехода W1 в W2; W2 в W3 и W3 в W1 способ Римана требует, чтобы мы представляли себе сшитыми или спаянными: левый край прореза 1-го листа с правым краем 2-го, левый край 2-го с правым 3-го и левый край 3-го с правым 1-го. Теперь благодаря существованию прореза точка z не может совершить обхода около точки разветвления а, оставаясь в том же листе; этим и достигается невозможность перемены значения W1 функции W, пока z остается в том же листе. Чтобы обойти точку разветвления, начав двигаться по контуру, лежащему в 1-м листе, z, дойдя до прореза, может благодаря спайке 1-го листа со вторым перейти во второй лист, при чем функция W получит уже значение W2. Если теперь, продолжая двигать z по второму листу, подведем его под ту точку 1-го листа, из которой начался обход, то и увидим, что представление, данное Риманом, соответствует теории, гласящей, что при обходе переменным z точки разветвления с возвращением z к прежней величине функция W получает другое значение. Для каждой функции строится особое сочетание листов прорезов и спаек. Каждое такое сочетание называется поверхностью Римана, изображающею данную функцию.

Интегралы от функции мнимого переменного. При действительном переменном х интеграл определяется как предел суммы:

(x1 — x0)f(x0) + (x2 — x1)f(x1) +... ( х — хп )f(xn), достигаемый ею при увеличении n до бесконечности, вследствие чего отрезки

x1 — x0, x2 — x1, ... х — хп

становятся бесконечно малыми. Здесь x0, x1 ... xn суть абсциссы точек, ограничивающих отрезки x1 — x0, x2 — x1, ... Сумма этих отрезков равна отрезку хx0. Все точки, определяемые абсциссами x0, x1 ..., лежат на оси х-ов. В случае мнимого переменного z интегралом называется тоже предел суммы

(z1 — z0)f(z0) + (z2 — z1)f(z1) +... (z — z п )f(zn),

но здесь уже точки z 0, z1, z2 ... лежат не на оси x -ов, а на любом контуре, называемом путем интегрирования, и интеграл зависит от того, по какому пути он берется. При том основными теоремами теории служат следующие: 1) если внутри пути интегрирования функция f(z) конечна и непрерывна, то

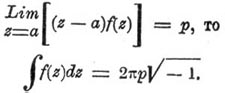
2) Если внутри пути интегрирования f(z) не имеет точек разветвления и претерпевает перерыв только в одной точке z = а, при чем

Теория мнимого переменного исследует вопрос о многосвязности пространств, весьма важный в гидродинамике. Пространство, в котором любой замкнутый контур может быть сведен в точку непрерывным перемещением и видоизменением назыв. односвязным. Например пространство, остающееся между шаром и поверхностью концентрической с ним сферы, односвязно; пространство же, находящееся в толще кольца, не односвязно. Всякое многосвязное пространство может быть преобразовано в односвязное построением перегородок, сквозь которые не допускается проведение контуров. Проводя перегородку в кольцевой трубке, превратим ее в односвязное пространство. Пространство называется n связным, если оно обращается в односвязное установлением (n — 1) перегородок.

История. Впервые М. величины упоминаются Карданом в его "Artis magnae sive de regulis Algebrae liber unus", 1545 г. Название невозможных M. применяется к этого рода величинам Валлисом в его алгебре, напечатанной в 1673 г. Мало-помалу математики начали пользоваться в видах обобщения теорем М. величинами; в особенности часто к ним прибегали Муавр, Иоанн Бернулли, Факьяно, д'Аламбер и Эйлер. Первые попытки найти геометрическое представление М. величин принадлежат Кюну, изложившему свои исследования в "Novi commentarii Academ. Petropolit." за 1750 и 1751 гг. Еще в конце прошлого столетия мнения математиков разделялись относительно того, следует ли полагать √(— a)√(—b) = √(ab), как это и необходимо, или же √(— a)√(—b) = √(—ab), как это заключали из необоснованного предположения, будто произведение М. величин может быть только мнимым. Гаусс в своей "Theoria residuorum biquadraticorum", появившейся в 1828—1832 гг., показывает, что всякая мнимая величина приводится к виду n + m √(—1). Гауссу же принадлежит введение названия комплексной величины и обстоятельные исследования такого рода величин. Настоящим основателем теории мнимого переменного следует признать Коши, который, однако, в своих "Exercices" 1844 г. не придавал реального значения М. величинам. Наконец, в 1851 г. появилась диссертация Римана (Riemann) "Grundlagen f ür eine allgemeine Theorie der Functionen einer veränderlichen Grö sse", составившая эпоху в развитии теории функций. Затем благодаря тесной связи с теориею эллиптических функций, которою так усиленно занимались математики последних 30 лет, и благодаря трудам таких геометров как Вейерштрасс, Эрмит, Клебш, Клейн и др., теория М. переменного легла в основание новой математики; ее развитием именно и характеризуется новое направление, в котором за короткое время достигнуто множество самых блестящих результатов. Лучшими руководствами для ознакомления с теориею М. переменного могут служить: Dur ège, "Elemente der Theorie der Functionen einer complexen veränderlichen Grö sse" (Лпц., 1864); Ho üel, "Cours de calcul infiuitésimal"; Hermite, "Cours d'Analyse"; Picard, "Traité d'Analyse" (1893).

Н. Д.


Page was updated:Monday, 16-Apr-2012 15:59:00