| [ начало ] | [ С ] |
Светорассеяние
— [Светорассеяние этимологически то же, что рассеяние света, но последним именем, или диффузией света, называется незеркальное отражение света, как, напр., матовыми поверхностями тел. Ф. П.] (цветное), или дисперсия (Dispersion, Farbenzerstreung) — разложение белых или вообще сложных цветных лучей на более простые в следующих явлениях: 1) преломление в прозрачных телах, 2) преломление в телах, поглощающих некоторые лучи (аномальная дисперсия), 3) дифракционный нормальный спектр, 4) вращение (молекулярное и магнитное) плоскости поляризации (см.), 5) расхождение оптических лучей разных цветов в двуосных кристаллах.
1) С. при преломлении (призматическая дисперсия) лучше всего может быть наблюдаемо на спектре, получаемом при прохождении белых лучей из щели через прозрачную призму с преломляющим ребром, расположенным параллельно щели. Такое разбрасывание лучей, различающихся по периоду колебаний и по длине волны (а физиологически — по цвету), происходит от различия в показателях преломления, т. е. от различия в скоростях распространения разноцветных лучей в одной и той же прозрачной среде. Такая зависимость скорости распространения эфирных колебаний различных периодов от величины периода теоретически объясняется взаимным влиянием частиц обыкновенного вещества и частиц светового эфира. Существуют очень сложные теории (Коши, Брио, Зельмейер, Гельмгольц), объяснающие явления призматической дисперсии с достаточной подробностью. Призматическое С. представляет огромное значение для устройства оптических чечевиц и спектроскопов и характеризуется для каждого прозрачного тела некоторыми постоянными величинами. Ограничиваясь видимыми лучами (в солнечном спектре между фраунгоферовыми линиями А [в красной] и H [в фиолетовой] части спектра), мы можем определить для призмы из данного прозрачного материала показатели преломления лучей, соответствующих определенным фраунгоферовым линиям солнечного спектра (см.) A, C, D, F, H. В таком случае характерными постоянными будут:
a) Полное С., т. е. разность между показателем преломления фиолетовых лучей п (H) и показателем преломления красных — n(A), т. е. n(H)—n(А) = полное С.
b) Светорассеивающая сила (pouvoir dispersif) = [n(H) — n(a)[/[n(D) — 1].
с) Частное С., или разности между п (Н)—n(F), n(F)—n(D), n(D)—n(C), n(C)—n(A).
d) Относительное С. — Δ = [n(F) — n(C)[/[n(D) — 1].
e) Дисперсия призмы в min. отклонения
где d α — небольшой угол между двумя близкими лучами, которых показатели преломления отличаются на dn, и А — преломляющий угол призмы. Мы приведем таблицу для нескольких тел с величинами среднего показателя преломления [так называется теперь n(D)], частного C. = n(F)— п (С) и относительного С. — Δ .
|
n(D) |
n(F)—n(C) |
1000 Δ . |
|
| Алмаз |
2,4173 |
0,0254 |
17,7 |
| Йодистое серебро |
2,1816 |
0,1256 |
104,2 |
| Плавиковый шпат |
1,4339 |
0,0045 |
10,4 |
| Кварц |
1,5442 |
0,0078 |
14,3 |
| Сероуглерод |
1,6303 |
0,0345 |
54,7 |
| Вода |
1,3330 |
0,0060 |
18,0 |
| Гвоздичное масло |
1,6188 |
0,0431 |
69,5 |
| Воздух |
1,0002429 |
0,00000295 |
10,1 |
| Водород |
1,0001429 |
0,00000195 |
13,7 |
Йенские стекла.
|
(Nr) |
n(D) |
n(F)—n(C) |
1000 Δ . |
|
| Легкий фосфор. Crown О. |
225 |
1,5159 |
0,00737 |
14,3 |
| Тяжелый bar. Sil. cr. О. |
211 |
1,5727 |
0,00988 |
17,2 |
| Легкий bor flint S. |
35 |
1,5503 |
0,00996 |
18,1 |
| Тяжелый bor. flint S. |
10 |
1,6797 |
0,01787 |
26,3 |
| Самый тяжелый flint S. |
57 |
1,9626 |
0,04882 |
50,8 |
Из таблицы видно, что наиболее сильна относительная дисперсия у йодистого серебра, а наименее у воздуха и плавикового шпата; для иенских стекол Δ увеличивается с n(D) и несколько быстрее n(D). С увеличением температуры дисперсия в жидкостях уменьшается, а для твердых тел увеличивается всегда, и при увеличении, и при уменьшении n.
Формулой призматической дисперсии называется эмпирически полученная и теоретически обоснованная связь между показателем преломления n и длиной волны λ. Самые простые формулы даны Коши (1835) и Кеттлером:
n = a + (b/ λ 2)... (Коши);
n2 = —k λ 2 + a + b/ λ 2 + c/ λ 4... (Кеттлер).
Эти формулы позволяют предвычислять для прозрачных тел частные дисперсии в разных частях спектра, облегчая тем задачу устройства ахроматических призм и чечевиц (см. Ахроматизм).
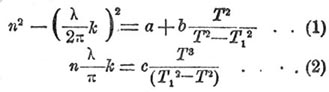
2) Аномальная дисперсия. В случае призм, приготовляемых из веществ, которые дают в спектре полосы поглощения, нередко наблюдается необычный порядок распределения цветов, а именно: наименее преломляющимися являются фиолетовые, а наиболее преломляющимися желтые, красные. Это происходит от того, что показатель преломления призмы не изменяется непрерывно с уменьшением длины волны лучей, но претерпевает резкие перемены (maxima и minima), переходя полосу лучей, сильно поглощаемых призмой. Кундт первый указал на эту зависимость аномальной дисперсии от поглощения лучей веществом призмы (раньше подобные явления аномальной дисперсии в йоде, фуксине наблюдали Леру, Христианзен). Кундт предложил удобный способ обнаруживать такую зависимость посредством 2-х перекрещивающихся призм. Через узкую короткую горизонтальную щель и призму (напр., из прозрачного флинта) с горизонтальными ребрами пропускают белый свет, чтобы получить узкую вертикальную полосу спектра — с горизонтальными цветными полосами. Затем, рассматривая этот спектр через призму из аномально светорассеивающего вещества (напр. фуксина, цианина и др.) с вертикально расположенным преломляющим ребром, можно легко заметить вблизи полос поглощения сдвиг и искривление границ цветных полос спектра то в одну, то в другую сторону. Пфлюгер, приготовив призмочки из твердого фуксина, определил показатели преломления лучей для различных волн — λ = 589 µµ, 486 µµ, 461 µµ, 410 µµ, а именно n = 2,64; 1,05; 0,83; 1,17. На этом примере не только доказывается, что желтые лучи (λ = 589 µµ) преломляются сильнее фиоетовых (410 µµ), но и обнаруживается возможность еще особой аномалии, а именно то, что для лучей λ = 461 µµ. (Sr) n = 0,83, т. е. что фуксин способен распространять волны (λ = 4б1µµ) со скоростью, которая больше скорости их распространения в пустоте, — иначе говоря, в свободном световом эфире. По опытам Кундта, подобные аномалии обнаружены и с призмами из тонких слоев железа, никеля, платины, золота и меди. Подобный случай аномальной дисперсии (n <1) Никольс наблюдал в кварце для λ>7,4 µ, т. е. в отдаленной инфракрасной части спектра. Для тел, обладающих аномальным С., вышеприведенные формулы Коши и Кеттлера являются не удовлетворительными. Современная теория дает для таких тел более сложную зависимость между n, λ, k (коэф. поглощ. свет. лучей), Т — периодом колебаний эфирной частицы и Т 1 — периодом колебаний частиц исследуемой призмы (предполагая, что частички вещества не испытывают трения и влияния эфирных частиц). Эта зависимость — в виде уравнений:
Из (2) уравнения, при Т 1 = Т, получается k = ∞, а это указывает, что при синхронизме колебаний частиц исследуемого вещеcтва и частиц эфира, призма должна задерживать все лучи периода Т и, след., должна дать в спектре одну абсорбционную полосу, по сторонам которой k — симметрично убывает. При таком условии yp. (1) показывает, что n — при переходе от лучей (инфракрасных) с периодом, большим Т, к лучам с периодами, близкими к Т, непрерывно увеличивается; достигнув maximum'a при Т = Т 1, n затем быстро уменьшается до некоторого minimum'a и снова непрерывно растет для лучей, приближающихся к ультрафиолетовым.
По электромагнитной теории света Максвеля — между диэлектрической постоянной k прозрачного изолятора и показателем преломления n существует простое соотношение: k = n 2, принимая за n — показатель преломления для весьма больших λ. Этот теоретичный вывод подтвержден многочисленными опытами, которые, между прочим, показывают, что вcе вещества, которых k превышает число 5, обладают аномальной дисперсий лучей с очень большой длиной волны (электрические лучи Гертца). Напр., для воды k = 80, непосредственный опыт над преломленишем Гертцовских лучей в водяной призме дал n = 9.
3) Диффракционное С. — пропорционально длине волны. Нормальный диффр. спектр и дисперсия сетки (см.)
4) Вращательная дисперсия (dispersion rotatoire) получается с поляризов. белыми лучами, при переходе их через активные вещества — кварц, сахар, терпентин и пр. (см. Вращение плоск. поляризации — молекулярное). Эти лучи испытывают вращение плоскости поляризации, изменяющееся приблизительно обратно пропорционально квадрату длины волны (закон Био); таким образом, плоскость поляризации фиолетовых лучей закручивается вообще на больший угол, нежели плоскость поляризации красных лучей. Для кварца при толщине 1 мм такое расхождение плоскостей поляризации фиолетовых и красных лучей достигает почти 36°. Для каждого вещества с молекулярным вращением пл. поляр, (а также и при магнитном вращении пл. поляриз.) — зависимость между φ — углом вращения пл. поляриз. лучей и λ — их длиной волны (в пределах видимых лучей) может быть достаточно точно выражена формулами
φ ° = A + B/ λ 2 или φ ° = А / λ 2 + В / λ 4
Для некоторых веществ (виннокам. кислота и ее соли) замечена аномальная вращательная дисперсия) аналогичная призматической дисперсии.
5) Дисперсия оптических осей в двуосных кристаллах заключается в изменении угла между оптическими осями с изменением длины волны лучей. В большинстве случаев этот угол увеличивается, хотя и на небольшую величину, с уменьшением длины волны. В этих явлениях наблюдаются нередко неправильности, напоминающие собой аномальную вращательную дисперсию. Литература вопроса достаточно подробно указана в "Курсе физики" проф. Хвольсона (II, 371 к § 21; стр. 631; 700).
H. Егоров.
|
Page was updated:Monday, 16-Apr-2012 16:47:38 |