| [ начало ] | [ Ш ] |
Шаровые функции
— представим себе точку M на поверхности шара, центр которого есть точка C. Предположим, что дана точка O вне шара (I) или внутри его (II).
Введем обозначения: МС=R, СО=ρ, МО= r , угол МСО=ω.
Из треугольника M СО следует, что
Это выражение можно представить:
Полагая cosω = x, R /ρ или ρ/R равным α, получим, что r выражается в обоих случаях через
Во многих вопросах математической физики приходится 1/ r
разлагать в ряд. Этот вопрос приводится к разложению функции
по степеням α. Выполнив это разложение, получим:
где P0 = 1, P1
= x, P2 = 3/2x2-1/2,
P3 = 5/2x3-3/2x,...
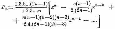
Pn = 
Полученные здесь целые функции от x называются Лежандровыми функциями или, по Гауссу, шаровыми функциями.
При помощи строки Лагранжа доказывается, что Р n(x) есть n -ая производная целой функции:
(x2-1)n/1∙2∙3∙...n∙2n.
Уравнение Р n(x) = 0 имеет все корни вещественные, лежащие между - 1 и +1.
Функция Р n(x) удовлетворяет дифференциальному уравнению:
(1-x2)y"-2xy' + n(n + 1)y = 0.
Между тремя последовательными функциями Pn, Pn-1 и Pn-2 имеет место соотношение:
nPn — (2n-1)xPn-1 + (n-1)Pn-2 = 0.
Из сочинений, посвященных рассматриваемому вопросу, отметим следующие: Р. G. Lejeune-Dirichlet, "Vorlesungen über die im umgekehrten Verhältniss des Quadrats der Entfernung wirkende Kräfte" (изд. доктора F. Grube'a, Лейпциг, 1876); Dr. E. Heine, "Handbuch der Kugelfunctionen. Theorie und Anwendungen" (2 т., Б., 1878, 1881).
Д. С.
|
Page was updated:Monday, 16-Apr-2012 17:34:22 |