| [ начало ] | [ Я ] |
Ящик зарядный
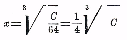
(минный) — деревянная оболочка, в которой помещается порох или другое взрывчатое вещество при подземных и подводных взрывах. Зарядный ящик придает заряду определенную форму и предохраняет его от сырости, а при подводных взрывах сообщает кроме того заряду необходимый в этом случае запас плавучести. Доски, из которых приготовляется зарядный ящик, связываются между собою вплотную шипами и сколачиваются деревянными или медными гвоздями. К каждому ящику полагаются две крышки, из них внутренняя кладется на концы прибитых в углах брусков и имеет отверстие для насыпки пороха. Если заряд должен находиться в воде, или очень сыром месте, то его помещают в двойной ящик, причем наружный ящик делается таких размеров, чтобы между стенками, крышками и днищами обоих ящиков оставался промежуток в 1 — 1,5 дюйма, заполняемый смолой. Размеры зарядного ящика, получающего обыкновенно форму куба, легко определить, зная вес единицы объема того взрывчатого вещества, для которого ящик предназначен. Пороха, например, в одном кубическом футе содержится 64 фунта, и следовательно бок ящика кубической формы, по данному весу порохового заряда в фунтах С, может быть определен из формулы х 3 = С/64, откуда
футов. Для предохранения пороха от влаги зарядные ящики оконопачиваются, а потом осмаливаются с наружной и внутренней сторон составом из смеси, по весу: 12 частей смолы, 3 частей свежего сала и 2 частей сухой золы или сухого мелкого песка;в холодное время берут относительно больше сала, в теплое — смолы. Для приготовления смеси растапливают сало, кладут в него кусками смолу и, не допуская до кипения, размешивают смесь около 1/2 часа; под конец примешивают к составу золу или песок. Для осмаливания ящика наливают в него несколько ковшей разогретого смоляного состава, стараясь покрыть стенки и дно слоем толщиной около ½ линии, после чего осмаливают ящик снаружи. Хорошо осмоленный ящик не должен давать росы на наружной поверхности, когда в нем налита вода. Если ящик двойной, то осмаливают отдельно каждый ящик, кладут на дно наружного несколько планок, толщиною в 1 — 1,5 дюйма, ставят на них внутренний ящик и заливают смолой промежуток между стенками и днищами обоих ящиков. При снаряжении сначала насыпают порох до половины высоты ящика и укладывают на угловые планки внутреннюю крышку с прикрепленными к ней запалом и проводниками; затем через отверстие внутренней крышки досыпают остальной порох, закрывают это отверстие пробкой, заливают всю внутреннюю крышку смолой и, пропустив концы проводников наружу, прибивают к ящику наружную крышку, которая также тщательно осмаливается.
С. А. Ц.
|
Page was updated:Monday, 16-Apr-2012 17:59:46 |