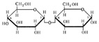
Дисахариды, биозы, углеводы, молекулы которых состоят из двух остатков моносахаридов. Все Д. построены по типу гликозидов. При этом водородный атом гликозидного гидроксила одной молекулы моносахарида замещается остатком др. молекулы моносахарида за счёт полуацетального или спиртового гидроксила. В первом случае образуются Д., не обладающие восстанавливающими свойствами, во втором — Д. с восстанавливающими свойствами (I). В группу невосстанавливающих Д. входят трегалоза (микоза, или грибной сахар), состоящая из 2 остатков глюкозы (II); сахароза, состоящая из остатков глюкозы и фруктозы (III), и др. К группе восстанавливающих Д. относятся мальтоза (IV), целлобиоза (V), лактоза (VI) и др. Д. могут содержать 5- и 6-членные кольца моносахаридов (пентозы и гексозы) и различаться по конфигурации гликозидной связи (a- или b-гликозиды). Пространственные формы (конформации) колец моносахаридных остатков в разных Д. могут варьировать. Так, целлобиоза и мальтоза различаются не только конфигурацией гликозидной связи (a — у мальтозы и b — у целлобиозы), но и тем, что в целлобиозе оба остатка находятся в одинаковой конформации, а в мальтозе — в разных.
Д. — хорошо кристаллизующиеся вещества, легко растворимы в воде и в 45 — 48°-ном спирте, плохо растворимы в 96°-ном спирте; оптически активны; сладки на вкус. Гидролиз Д. (для сахарозы называется инверсией) происходит при действии кислот; при наличии 5-членного кольца в моносахаридном остатке скорость кислотного гидролиза Д. возрастает. Гидролиз Д. осуществляется также ферментами (карбогидразами), например a- или b-гликозидазами (в зависимости от типа гликозидной связи в Д.). В результате гидролиза образуются моносахариды.
Д. широко распространены в животных и растительных организмах. Они встречаются в свободном состоянии (как продукты биосинтеза или частичного гидролиза полисахаридов), а также как структурные компоненты гликозидов и др. соединений. Обычно Д. получают из природных источников (например, сахарозу — из сахарной свёклы или сахарного тростника, лактозу — из молока животных). Многие Д. синтезируют химическими и биохимическими методами.
Сахароза, лактоза и мальтоза — ценные пищевые и вкусовые вещества. Производством сахарозы занята сахарная промышленность.
Лит.: Химия углеводов, М., 1967; Степаненко Б. Н., Углеводы. Успехи в изучении строения и метаболизма, М., 1968; Staněk J., Černý M., Pacák J., The Oligosaccharides, Prague, 1965.
Б. Н. Степаненко.

Трегалоза.

Образование восстанавливающего дисахарида.

Образование невосстанавливающего дисахарида.

Мальтоза.

Лактоза.

Сахароза.

Целлобиоза.