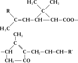
Пиретрины, смесь сложных эфиров (+)-транс-хризантемовой и (+)-транс-пиретриновой кислот с замещенным (+)-пиретролоном; инсектициды, содержащиеся в некоторых видах ромашки рода пиретрум. Оптически и геометрически активные жидкие бесцветные высококипящие соединения, легко гидролизующиеся щёлочью, устойчивы в слабокислой среде, легко разлагаются при действии света, влаги и воздуха. Токсичность П. ЛД50 перорально для крыс 200—2600 мг/кг. Действующее начало П.: пиретрин I (I), пиретрин II (II), цинерин I (III), цинерин II (IV), жасмолин I (V), жасмолин II (VI).

I R= -СНз; R'= -CH=CH2
II R= -ОСОСНз; R'= -CH=CH2
III R= -СНз; R'= - СНз
IV R= -ОСОСНз; R'= -Снз
V R= -CH3: R'= -СН2-СНз
VI R= -OCOCH3; R'= -СН2-СНз
Получают П. экстракцией измельченных цветков ромашки (пиретрума) смесью полярных и неполярных растворителей (метанол — керосин), реже одним каким-либо растворителем (хлористый метилен, дихлорэтан и др. хлорированные углеводороды). Сопутствующие вещества удаляют осаждением, адсорбцией на угле или вымораживанием с последующей фильтрацией. Технический 25%-ный экстракт содержит 10% пиретрина I, 9% пиретрина II, 3% цинерина I, около 3% цинерина II и следы жасмолинов. Представляет собой жёлтое масло, нерастворимое в воде, растворимое в большинстве органических растворителей. Соотношение компонентов в смеси и токсичность для теплокровных животных могут изменяться в зависимости от сорта цветков, условий роста растения, обработки во время экстрагирования или отгонки растворителя.
П.— контактные инсектициды с быстрым парализующим действием (нокдаун-эффект). Применяются в форме аэрозолей, дустов, эмульсий и т.п. для борьбы с бытовыми насекомыми (клопы, вши, тараканы). Могут использоваться для уничтожения вредных насекомых в сельском хозяйстве и при обработке запасов, однако их действие очень кратковременно. Из-за нестабильности П. к ним редко возникает резистентность. Инсектицидное действие П. усиливается при добавлении различных веществ синергистов (пиперонилбутоксид, тропиталь, сезамекс и др.). Для большинства стран П.— привозные, дорогие инсектициды, поэтому синтезированы аналоги П.— пиретроиды.
Лит. см. при статье Пиретроиды.
К. Д. Швецова-Шиловская.