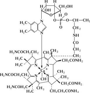
Цианкобаламин, витамин B12H88CoN14O14P; кобальт-корриновый комплекс, в котором атом кобальта соединён с цианогруппой, нуклеотидным остатком и с четырьмя восстановленными пиррольными кольцами. Молекулярная масса 1355,40. Тёмно-красные кристаллы, растворимые в воде и полярных органических растворителях. В кристаллическом виде впервые получен из печени крупного рогатого скота. Строение установлено А. Тоддом, Д. Кроуфут-Ходжкин и сотрудниками. Первоисточник Ц. в природе — микроорганизмы (Ц. синтезируется некоторыми бактериями, актиномицетами, синезелёными водорослями). Ц. обнаружен почти во всех тканях животных. В тканях высших растений, как правило, не встречается (исключение — клубеньки бобовых). У жвачных животных Ц. в достаточном количестве синтезируется микрофлорой кишечника, рубца. У человека и некоторых высших животных (птиц, свиней и др.) синтез Ц. микрофлорой кишечника незначителен, поэтому витамин B12 должен поступать в организм с пищей. Потребность в Ц. человека — около 5 мкг в сутки. Основной источник Ц. — печень, почки, рыбная мука, молоко. Ц. в форме коферментов — метилкобаламин и дезоксиаденозилкобаламин — участвует в ферментативных реакциях, обеспечивающих кроветворную функцию организма, способствует нормализации функции печени, благоприятно влияет на регенерацию нервных волокон. Получают Ц. микробиологическим синтезом, используя для ферментации пропионовокислые бактерии.

Витамин B12 применяют для лечения пернициозной и др. анемий, а также заболеваний центральной и периферической нервной систем, печени и т.д. Назначают в растворах внутримышечно. См. также Витамины, Анемия, Кобаламины.
Лит.: Смит Л., Витамин B12, пер. с англ., М., 1962; Friedrich W., Vitamin B12 und verwandte corrinoide, 3 Aufl., Stuttg., 1975.
И. П. Рудакова.